Concessionnaires Du Futur
L'évolution du showroom grâce à l'utilisation de données intelligentes Nos API sont désormais totalement intégrées dans le système de gestion de concession CDK / Fortellis.
CDK / Fortellis se rendent compte que les progrès technologiques changent la façon dont les concessionnaires fonctionnent avec un besoin de stimuler la fréquentation, d'augmenter les flux de revenus et de construire des relations clients solides et durables qui figurent en tête de liste.
Comment pouvons nous aider?
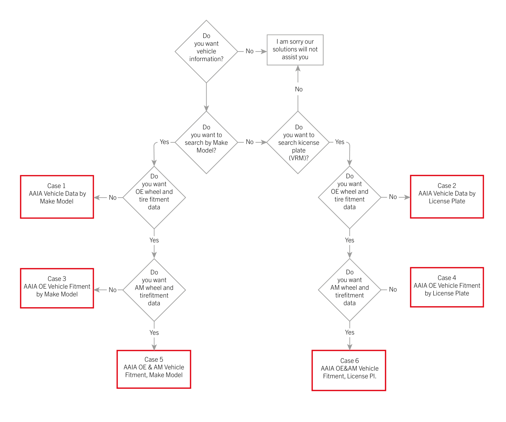
Commençons par les bases. En intégrant la classification mondiale des véhicules et la base de données de montage DriveRightData avec de multiples fonctions d'application de recherche sur le site Web du concessionnaire ou via le système Fortellis, le consommateur peut facilement trouver les pneus correspondant à son véhicule spécifique ; en termes de modèle et d'équipement complet.
Nous proposons des variantes via différentes API, de la possibilité de renvoyer les données du véhicule à partir de la recherche de marque et de modèle à la possibilité de rechercher par plaque d'immatriculation et de renvoyer les options d'équipement d'origine et les pièces de rechange.
En utilisant toute l'échelle de notre API, les concessionnaires sont en mesure de voir non seulement les options montées en équipement d'origine, mais également toutes les combinaisons possibles de pneus adaptés à leur véhicule, y compris les pneus hiver et la réduction. de tailles, ce qui peut encourager des achats plus élevés. Consultez notre aperçu de l'API ci-dessous pour plus d'informations.
Les entreprises peuvent fidéliser et fidéliser leurs clients ; améliorer constamment la communication et mieux comprendre les demandes des consommateurs. L'avantage supplémentaire est que ce service fourni renforce la confiance. En sachant que le concessionnaire veillera toujours à ce que le consommateur reçoive les bons pneus, il favorise une mesure supplémentaire de sécurité du client.
L'augmentation du chiffre d'affaires permet une rentabilité et la possibilité d'aligner les prix en cas de besoin ; permettant au concessionnaire de concurrencer les chaînes nationales tout en offrant un meilleur service client.
Cela signifie que les concessionnaires commencent non seulement à percevoir des revenus accrus du marché secondaire, mais que l'augmentation de la fréquentation qui en résulte offre des opportunités de vente de voitures neuves. Les vendeurs avertis peuvent identifier les clients qui ont réservé chez le concessionnaire des pneus de remplacement et les contacter avec des incitations spécialisées pour passer à la vente d'une voiture neuve.
DriveRightData s'est avéré apporter une réelle valeur ajoutée aux concessionnaires, soutenant leurs ambitions pionnières en aidant à générer des revenus supplémentaires grâce à une proposition client convaincante et à l'intelligence des consommateurs d'une marque réputée.
Le passage aux ventes en ligne en ligne est devenu le canal d'achat par défaut pour de nombreux consommateurs pendant le verrouillage. Depuis début mars, l'intérêt de la recherche pour les achats en ligne et la manière d'acheter en ligne a augmenté deux fois dans le monde. En conséquence, les consommateurs n'attendent plus seulement l'expérience qui leur était offerte auparavant, ils ont au contraire développé des attentes numériques beaucoup plus élevées.
C'est pourquoi toutes les entreprises, quelle que soit leur verticalité ou leur taille, doivent accélérer leur adoption numérique et transformer leurs opérations pour répondre aux consommateurs là où elles se trouvent actuellement - et leur offrir l'expérience qu'elles attendent.
Pour une démonstration gratuite et pour en savoir plus sur nos produits et services, veuillez nous contacter.
Vous obtenez
Réduction des retours suite à une mauvaise reconnaissance du véhicule
Données adaptées à la vente via votre site Web ou sur les systèmes POS
Extensions du système pour répondre aux besoins croissants
Aucune formation requise pour que votre personnel fournisse un support technique et commercial
Produits et services associés
Données de montage du véhicule
répertorie le véhicule, la marque, le modèle et les variations de modèle des informations d'origine et de montage des pneus et des roues en option.





