Dealerships of the future
The evolution of the showroom through the use of intelligent data
Our API's are now fully integrated in the
CDK/Fortellis dealership management system.
CDK/Fortellis realize that the advance in technology is changing the way that dealerships operate with a need to drive footfall, increase revenue streams and build strong, lasting customer relationships featuring at the top of the list.
We help create better tire purchase experiences now demanded by the modern user. This can be either through your Fortellis system or as part of your online provision.
Usually, this is where national networks and independent specialists usually get the upper hand, however with the use of our API's, dealerships can give the same increased level of online customer experience.
Some are even able to up-sell to the consumer by identifying which larger wheels and tires they could upgrade to.
How can we help?
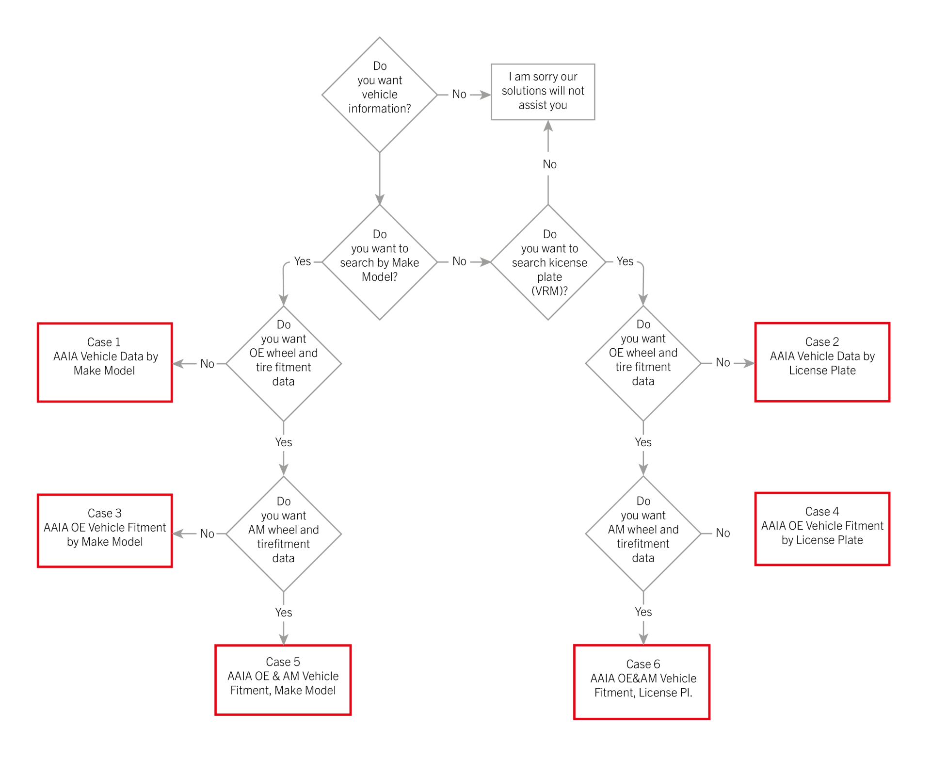
Let’s start with the basics. By integrating DriveRightData’s global vehicle classification and fitment database with multiple search application functions on the dealership website or through the Fortellis system, the consumer can easily find the tires relevant for their specific vehicle; at model and full trim level. We have variations available through different API's, from the ability to return vehicle data from make and model search through to the ability to search by license plate and return OE and Aftermarket fitment options. By using the full scale of our API's dealerships are able to view not only the OE fitted options but also all the possible upstep tire combinations for their vehicle, including winter tire and downsizing which can encourage higher purchases. View our API Overview
below for more information.
Businesses can build loyalty and customer retention; constantly improving communication and further understanding of consumer requirements.
The added benefit is that this service provided builds trust. By knowing that the dealership will always ensure that the consumer receives the correct tires, it promotes the added measure of customer safety. The increased sales revenue enables profitability and the ability to match price when required; allowing the dealership to compete against national chains whilst providing better customer service.
This means that dealerships not only start to receive increased revenue from aftersales, but the resulting increased footfall provides opportunities for increased new car sales. Savvy salespeople can identify customers who are booked into the dealership for replacement tires and contact them with specialized incentives to convert to a new car sale instead.
DriveRightData has proven itself to add real value to dealers, supporting their pioneering ambitions by helping generate additional revenue through a compelling customer proposition and consumer intelligence from a highly regarded brand.
Shift to online sales
Online became the default purchasing channel for many consumers during lockdown. Since the beginning of March, search interest in online shopping and how to buy online has grown by 2X worldwide. As a result, consumers are no longer expecting only the experience they were offered before, instead they have developed much higher digital expectations. This is why all businesses, regardless of vertical or size, need to accelerate their digital adoption and transform their operations to meet consumers where they are now — and give them the experience they expect.
For a free demonstration and to find out more about our products and services please contact us.
FEATURES
You Get
Reduced returns from incorrect vehicle recognition
Data suitable for selling via your website or on POS-systems
System expansions to meet growing needs
No training required for your staff to give technical & sales support
Related Products and Services
Vehicle Fitment Data
lists the vehicle, make, model and model variations to OE and option tyre and wheel fitment information.






