Dealerships of the future
The evolution of the showroom through the use of intelligent data.
Our API's are now fully integrated in the CDK/Fortellis dealership management system.
CDK/Fortellis realise that the advance in technology is changing the way that dealerships operate with a need to drive footfall, increase revenue streams and build strong, lasting customer relationships featuring at the top of the list.
What do our API's do?
We help create better tyre purchase experiences now demanded by the modern user. This can be either through your Fortellis system or as part of your online provision.
Usually, this is where national networks and independent specialists usually get the upper hand, however with the use of our API's, dealerships can give the same increased level of online customer experience.
Independents appreciate that consumers do not always know which tyres or wheels are relevant for their vehicle. So, by building technology into their websites and internal systems, such as license plate or make model search, it enables the consumer or technician to easily identify which tyres and wheels are a match.
Some are even able to up-sell to the consumer by identifying which larger wheels and tyres they could upgrade to.
As some car models now have longer or variable service intervals, it could be over 18 months before the owner needs to contact the dealership to arrange a service. Even then, the customer needn’t actually make a visit, as many dealerships offer a collection and return service.
By offering tyres, dealerships can improve the frequency of customer visits, increase revenue and ensure they are able to offer a 'cradle to grave' service for their customers.
The main attributes of successful dealerships are those committed to change and putting the customer at the heart of their business, enabling them to remain competitive and relevant. They are also looking at ways to ensure that the vehicle handover is not the last time that the dealerships sees their customer.
How can we help?
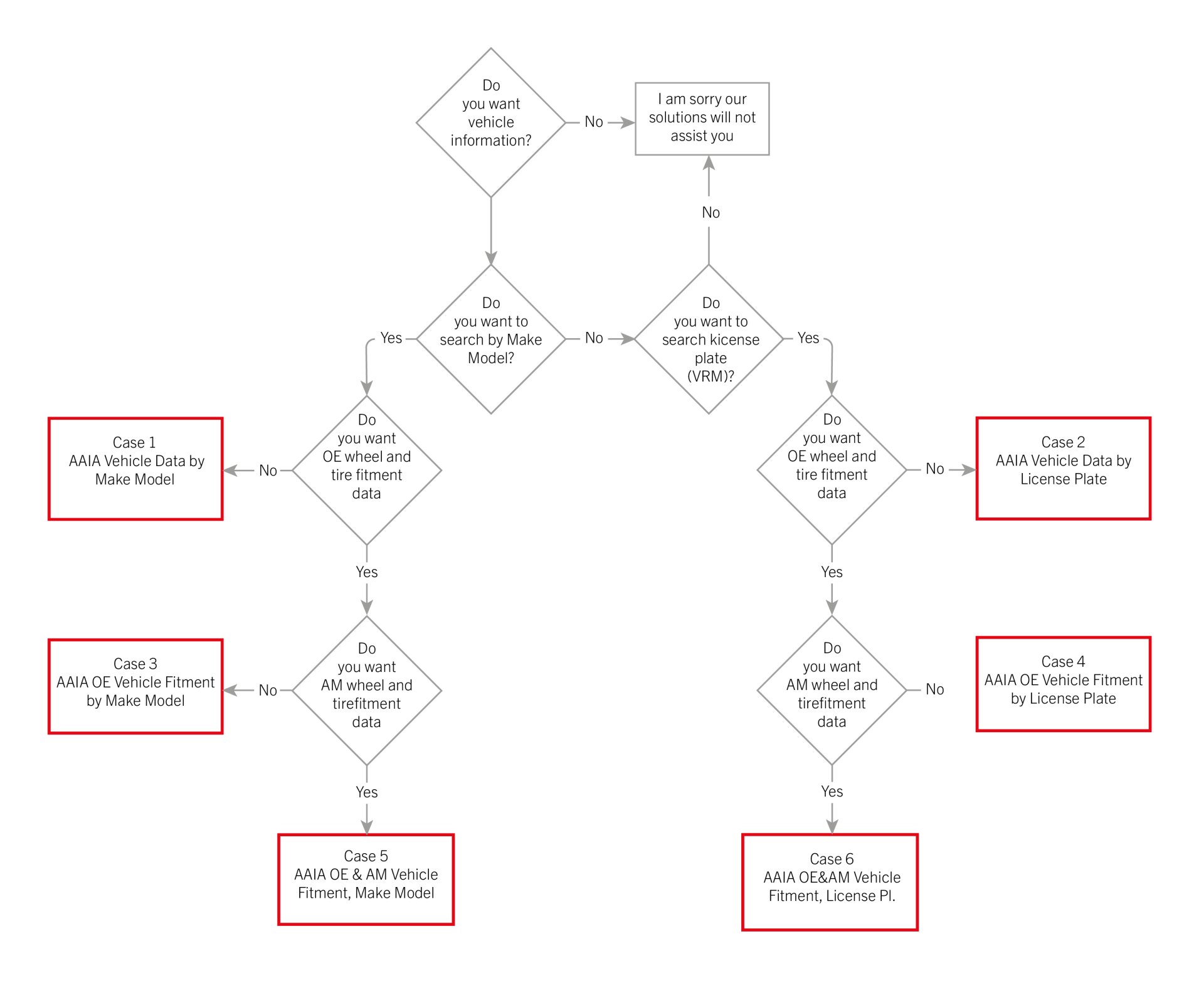
Let’s start with the basics. By integrating DriveRightData’s global vehicle classification and fitment database with multiple search application functions on the dealership website or through the Fortellis system, the consumer can easily find the tyres relevant for their specific vehicle; at model and full trim level. We have variations available through different API's, from the ability to return vehicle data from make and model search through to the ability to search by license plate and return OE and Aftermarket fitment options. By using the full scale of our API's dealerships are able to view not only the OE fitted options but also all the possible up step tyre combinations for their vehicle, including winter tyre and downsizing which can encourage higher purchases. View our API Overview
below for more information.
Businesses can build loyalty and customer retention; constantly improving communication and further understanding of consumer requirements.
The added benefit is that this service provided builds trust. By knowing that the dealership will always ensure that the consumer receives the correct tyres, it promotes the added measure of customer safety. The increased sales revenue enables profitability and the ability to match price when required; allowing the dealership to compete against national chains whilst providing better customer service.
This means that dealerships not only start to receive increased revenue from aftersales, but the resulting increased footfall provides opportunities for increased new car sales. Savvy salespeople can identify customers who are booked into the dealership for replacement tires and contact them with specialised incentives to convert to a new car sale instead.
DriveRightData has proven itself to add real value to dealers, supporting their pioneering ambitions by helping generate additional revenue through a compelling customer proposition and consumer intelligence from a highly regarded brand.
Shift to online sales
Online became the default purchasing channel for many consumers during lockdown. Since the beginning of March, search interest in online shopping and how to buy online has grown by 2X worldwide. As a result, consumers are no longer expecting only the experience they were offered before, instead they have developed much higher digital expectations. This is why all businesses, regardless of vertical or size, need to accelerate their digital adoption and transform their operations to meet consumers where they are now — and give them the experience they expect.
For a free demonstration and to find out more about our products and services please contact us.
Businesses can build loyalty and customer retention; constantly improving communication and further understanding of consumer requirements.
The added benefit is that this service provided builds trust. By knowing that the dealership will always ensure that the consumer receives the correct tyres, it promotes the added measure of customer safety. The increased sales revenue enables profitability and the ability to match price when required; allowing the dealership to compete against national chains whilst providing better customer service.
This means that dealerships not only start to receive increased revenue from aftersales, but the resulting increased footfall provides opportunities for increased new car sales. Savvy salespeople can identify customers who are booked into the dealership for replacement tires and contact them with specialised incentives to convert to a new car sale instead.
DriveRightData has proven itself to add real value to dealers, supporting their pioneering ambitions by helping generate additional revenue through a compelling customer proposition and consumer intelligence from a highly regarded brand.
Shift to online sales
Online became the default purchasing channel for many consumers during lockdown. Since the beginning of March, search interest in online shopping and how to buy online has grown by 2X worldwide. As a result, consumers are no longer expecting only the experience they were offered before, instead they have developed much higher digital expectations. This is why all businesses, regardless of vertical or size, need to accelerate their digital adoption and transform their operations to meet consumers where they are now — and give them the experience they expect.
For a free demonstration and to find out more about our products and services please contact us.
FEATURES
You Get
Reduced returns from incorrect vehicle recognition
Data suitable for selling via your website or on POS-systems
System expansions to meet growing needs
No training required for your staff to give technical & sales support
Related Products and Services
Related Products and Services
Vehicle Fitment Data
lists the vehicle, make, model and model variations to OE and option tyre and wheel fitment information.





